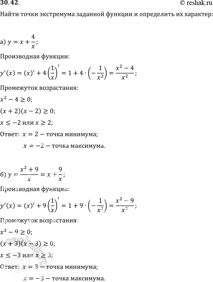
Упр.30.42 ГДЗ Мордкович 10-11 класс (Алгебра)
Решение #1
Решение #2

Рассмотрим вариант решения задания из учебника Мордкович, Семенов 10-11 класс, Мнемозина:
30.42
а) у = х + 4/x;
б) у = (х^2 + 9) / x.
*размещая тексты в комментариях ниже, вы автоматически соглашаетесь с пользовательским соглашением