Упр.26.1 ГДЗ Мордковича 10 класс профильный уровень (Алгебра)
Решение #1
Решение #2(записки учителя)

Рассмотрим вариант решения задания из учебника Мордкович, Семенов 10 класс, Мнемозина:
Упростите выражения:
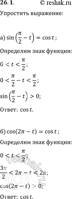
a) sin (пи/2 - t);
б) cos (2пи - t);
в) cos (3пи/2 + t);
г) sin (пи + t).
*размещая тексты в комментариях ниже, вы автоматически соглашаетесь с пользовательским соглашением