Упр.105 ГДЗ Макарычев Миндюк 9 класс (Алгебра)
Решение #1
Решение #2
Решение #3

Рассмотрим вариант решения задания из учебника Макарычев, Миндюк, Нешков 9 класс, Просвещение:
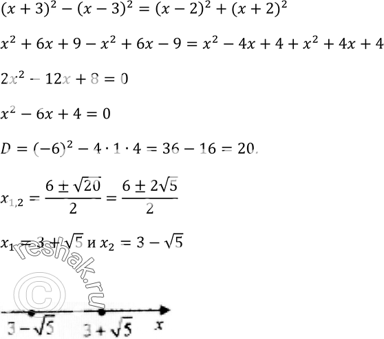
105. Решите уравнение
(х + 3)2 - (x - З)2 =(x-2)2 +(x+2)2
и отметьте его корни на координатной прямой.
*размещая тексты в комментариях ниже, вы автоматически соглашаетесь с пользовательским соглашением