Упр.22 ГДЗ Макарычев Миндюк 8 класс (Алгебра)
Решение #1
Решение #2

Рассмотрим вариант решения задания из учебника Макарычев, Миндюк, Нешков 8 класс, Просвещение:
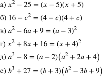
22. Разложите на множители:
а) х2 - 25;
б) 16-с2;
в) а2-6а+ 9;
г) х2 + 8х + 16;
д) а3-8;
е) b3 + 27.
*размещая тексты в комментариях ниже, вы автоматически соглашаетесь с пользовательским соглашением