Тест Глава 1 ГДЗ Мордкович Семенов 9 класс (Алгебра)
Решение #1

Рассмотрим вариант решения задания из учебника Мордкович, Семенов, Александрова 9 класс, Бином:
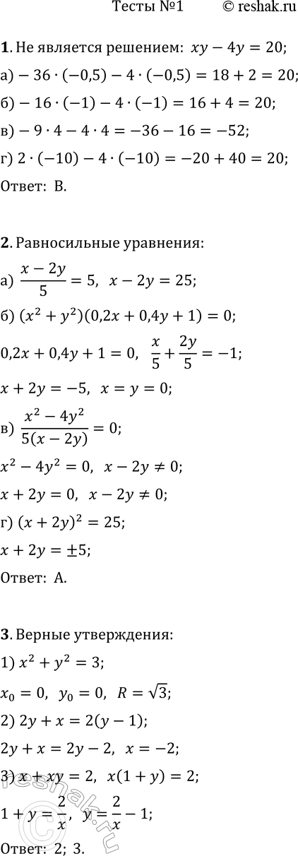
1. Укажите пару чисел, которая не является решением рационального уравнения xy-4y=20.
а) (-36; -0,5); в) (-9; 4);
б) (-16; -1); г) (2; -10);
Укажите пару равносильных уравнений.
а) (x-2y)/5=5 и x-2y=25;
б) (x^2+y^2)(0,2x+0,4y+1)=0 и x+2y=-5;
в) (x^2-4y^2)/(5(x-2y))=0 и x^2-4y^2=0;
г) (x+2y)^2=25 и x+2y=5;
3. Укажите верные утверждения.
1) Графиком уравнения x^2+y^2=3 является окружность с центром в начале координат и радиусом, равным трём.
2) Графиком уравнения 2y+x=2(y-1) является прямая.
3) Графиком уравнения x+xy=2 является гипербола.
4. Найдите длину отрезка NQ, если N(—2; 9) и Q(—7; —3).
5. Укажите уравнение окружности с центром в точке (—7; 2) и радиусом 10.
а) (x+7)^2+(y-2)^2=10; в) (x-7)^2+(y+2)^2=100;
б) (x-7)^2+(y+2)^2=10; г) (x+7)^2+(y-2)^2=100;
6. Найдите расстояние между точками пересечения окружности (x+2)^2+y^2=25 и прямой y=-3.
7. Укажите системы уравнений, решением которых является пара чисел (—2; —3).
а) {x^2+y^2=13, 2x-y=-1}; в) {x^2-y^2=-5, 2x^2-y=11};
б) {x^2+y^2=13, 2x+y=7}; г) {x^2-y^2=-5, 2x-y^2=5};
8. Решите систему уравнений {2x-y=-2, xy=4}.
9. Укажите полуокружность, заданную уравнением y=v(9-(x+2)^2).
10. Мастер и ученик, работая одновременно, могут покрасить стены в кабинете за 2 ч. Мастер, работая один, может выполнить эту работу на 3 ч быстрее, чем ученик. Сколько времени затратит ученик на покраску стен в кабинете, работая один?
*размещая тексты в комментариях ниже, вы автоматически соглашаетесь с пользовательским соглашением