Упр.8.8 ГДЗ Мордкович Семенов 8 класс (Алгебра)
Решение #1

Рассмотрим вариант решения задания из учебника Мордкович, Семенов, Александрова 8 класс, Бином:
8.8. Решите неравенство:
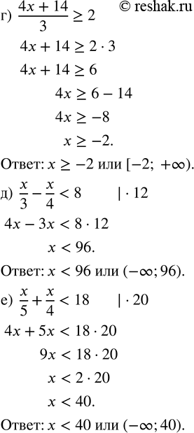
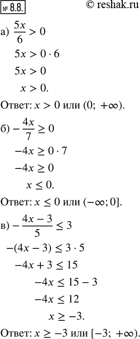
а) 5x/6 > 0; в) -(4x - 3)/5 ? 3; д) x/3 - x/4 < 8;
б) -4x/7 ? 0; г) (4x + 14)/3 ? 2; е) x/5 + x/4 < 18.
*размещая тексты в комментариях ниже, вы автоматически соглашаетесь с пользовательским соглашением