Упр.8.6 ГДЗ Мордкович Семенов 8 класс (Алгебра)
Решение #1

Рассмотрим вариант решения задания из учебника Мордкович, Семенов, Александрова 8 класс, Бином:
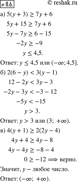
8.6. Решите неравенство:
а) 5(у + 3) ? 7у + 6;
б) 2(6 - у) < 3(у - 1);
в) 4(y + 1) ? 2(2у - 4);
г) 2(3у - 1) ? 7у + 8;
д) 5(y - 3) > 8(у - 6);
е) 6(y - 4) ? 3(2у - 8).
*размещая тексты в комментариях ниже, вы автоматически соглашаетесь с пользовательским соглашением