Упр.8.5 ГДЗ Мордкович Семенов 8 класс (Алгебра)
Решение #1

Рассмотрим вариант решения задания из учебника Мордкович, Семенов, Александрова 8 класс, Бином:
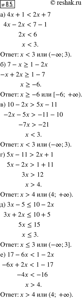
8.5. Решите неравенство:
а) 4x + 1 < 2x + 7;
б) 7 - x ? 1 - 2x;
в) 10 - 2x > 5x - 11;
г) 5x - 11 > 2x + 1;
д) 3x - 5 ? 10 - 2x;
е) 17 - 6x < 1 - 2x.
*размещая тексты в комментариях ниже, вы автоматически соглашаетесь с пользовательским соглашением