Упр.6.2 ГДЗ Мордкович Семенов 8 класс (Алгебра)
Решение #1

Рассмотрим вариант решения задания из учебника Мордкович, Семенов, Александрова 8 класс, Бином:
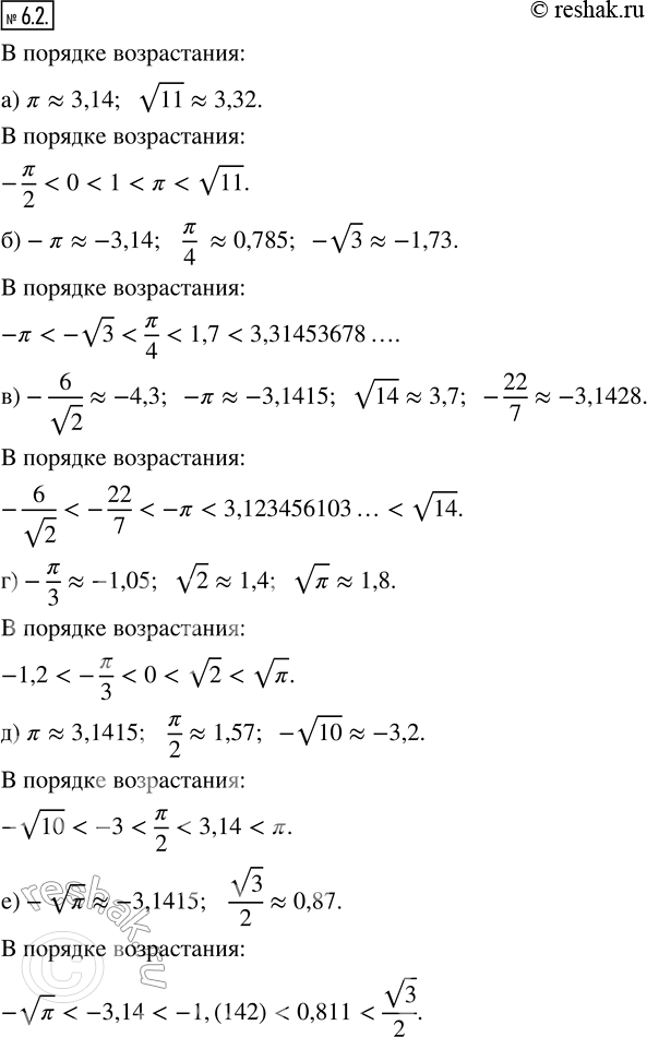
6.2. Расположите в порядке возрастания числа:
а) -?/2; 0; ?; v11; 1;
б) -?; 3,31453678...; ?/4; -v3; 1,7;
в) 3,123456103...; -6/v2; -?; v14; -22/7;
г) -1,2; -?/3; v2; v?; 0;
д) 3,14; ?; ?/2; -v10; -3;
е) 0,811; -v?; v3/2; -3,14; -1,(142).
*размещая тексты в комментариях ниже, вы автоматически соглашаетесь с пользовательским соглашением