Упр.5.2 ГДЗ Мордкович Семенов 8 класс (Алгебра)
Решение #1

Рассмотрим вариант решения задания из учебника Мордкович, Семенов, Александрова 8 класс, Бином:
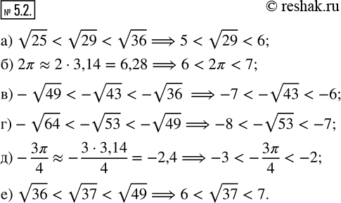
5.2. Между какими соседними целыми числами находится иррациональное число:
а) v29; в) -v43; д) -(3?)/4;
б) 2?; г) -v53; е) v37?
*размещая тексты в комментариях ниже, вы автоматически соглашаетесь с пользовательским соглашением