Упр.4.9 ГДЗ Мордкович Семенов 8 класс (Алгебра)
Решение #1

Рассмотрим вариант решения задания из учебника Мордкович, Семенов, Александрова 8 класс, Бином:
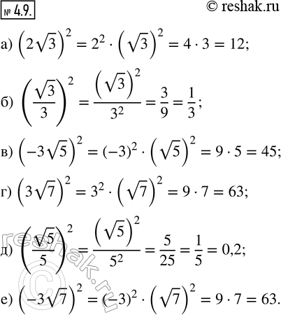
4.9. Вычислите:
а) (2v3)^2; в) (-3v5)^2; д) (v5/5)^2;
б) (v3/3)^2; г) (3v7)^2; е) (-3v7)^2.
*размещая тексты в комментариях ниже, вы автоматически соглашаетесь с пользовательским соглашением