Упр.4.8 ГДЗ Мордкович Семенов 8 класс (Алгебра)
Решение #1

Рассмотрим вариант решения задания из учебника Мордкович, Семенов, Александрова 8 класс, Бином:
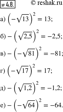
4.8. Вычислите:
а) (-v13)^2; в) -(-v81)^2; д) -(v1,2)^2;
б) -(v2,5)^2; г) (-v17)^2; е) -(-v64)^2.
*размещая тексты в комментариях ниже, вы автоматически соглашаетесь с пользовательским соглашением